နေပြည်တော် ဇွန် ၂၅
၂၈-၃-၂၀၂၅ ရက်က လှုပ်ခတ်ခဲ့သော မန္တလေးမြေငလျင်ကြီးကြောင့် နေပြည်တော်ကောင်စီနယ်မြေ၊ စစ်ကိုင်းတိုင်းဒေသကြီး၊ မန္တလေးတိုင်းဒေသကြီး၊ မကွေးတိုင်းဒေသကြီး၊ ရှမ်းပြည်နယ်နှင့် ပဲခူးတိုင်းဒေသကြီးတို့တွင် ထိခိုက်ပျက်စီးမှုများ ဖြစ်ပေါ်ခဲ့ပြီး ငလျင်ဘေးသင့်ခဲ့သော ပြည်သူများအတွက် ပြည်တွင်း/ ပြည်ပစေတနာရှင်၊ အလှူရှင်များ၏ လူသားချင်း စာနာထောက်ထားမှု ဆိုင်ရာ အကူအညီပစ္စည်းများ၊ ဆေးဝါးများလှူဒါန်းထောက်ပံ့မှုနှင့် ဘေးသင့်ဒေသများသို့ ဖြန့်ခွဲထောက်ပံ့ဆောင်ရွက်မှုများကို အပတ်စဉ် သတင်းထုတ်ပြန်ပေး လျက်ရှိရာ ဇွန်လ ၄ ရက်နေ့မှ ၁၀ ရက်နေ့အထိ အခြေအနေကို ၁၀-၆-၂၀၂၅ ရက်နေ့တွင် ထုတ်ပြန်ခဲ့ပြီး ဖြစ်ပါသည်။
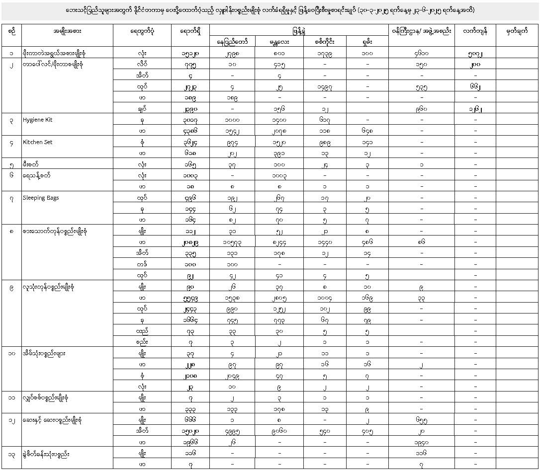
ယခုအခါ ဇွန်လ ၁၁ ရက်နေ့မှ ၂၃ ရက်နေ့အထိ ရက်သတ္တပတ်နှစ်ပတ်အတွင်း တရုတ်ပြည်သူ့သမ္မတနိုင်ငံ ကူမင်းမြို့ Singapore Lotus Light Charity Society ၊ Singapore Buddha Dhamma Mandala Society နှင့် Love and Care Charity Group ၊ ထိုင်းနိုင်ငံရောက် စေတနာရှင်များတို့မှ ထပ်မံပေးပို့ လှူဒါန်းလာသော မိုးကာတဲ၊ Sleeping Bags ၊ စားသောက်ကုန်၊ လူသုံးကုန်နှင့် အိမ်သုံးပစ္စည်းများကို ဘေးသင့်လူဦးရေအချိုးအစားအပေါ် မူတည်၍ နေပြည်တော်၊ စစ်ကိုင်းတိုင်းဒေသကြီး၊ မန္တလေးတိုင်းဒေသကြီးနှင့် ရှမ်းပြည်နယ်တို့သို့ ဖြန့်ခွဲပေးပို့ပြီး ဖြစ်ပါသည်။
ငလျင်လှုပ်ခတ်ခဲ့သည့် ၂၈- ၃-၂၀၂၅ ရက်နေ့မှ ယနေ့အထိ လှူဒါန်းပစ္စည်းများ ဖြန့်ခွဲပေးပို့မှုစုစုပေါင်းမှာ မန္တလေးတိုင်းဒေသကြီးသို့ မော်တော်ယာဉ် ၆၆ စီး၊ စစ်ကိုင်းတိုင်းဒေသကြီးသို့ မော်တော်ယာဉ် ၃၃ စီး၊ ရှမ်းပြည်နယ်တောင်ပိုင်းသို့ မော်တော်ယာဉ် ၁၃ စီး၊ မော်တော်ယာဉ် ၁၁၂ စီးဖြင့် စုစုပေါင်းတန်ချိန် ၂၄၃၅ ခန့်ဖြစ်ပါသည်။
နိုင်ငံတကာအလှူရှင်များက ၁၁-၆-၂၀၂၅ ရက်နေ့မှ ၂၃-၆-၂၀၂၅ ရက်နေ့အထိ ရက်သတ္တပတ် နှစ်ပတ်အတွင်း ပေးပို့လှူဒါန်းသည့် ပစ္စည်းများအား ဘေးသင့်ပြည်သူများအတွက် ဖြန့်ခွဲပေးပို့နိုင်ရေး ဆောင်ရွက်ထားရှိမှုကို ပူးတွဲပါဇယားများဖြင့် ဖော်ပြအပ်ပါသည်။
ထပ်မံလှူဒါန်းလာသည့် ပစ္စည်းများရောက်ရှိမှုနှင့် ငလျင်ဘေးသင့်ပြည်သူများထံ အမြန်ဆုံးရောက်ရှိဖြန့်ခွဲမှုတို့ကို နှစ်ပတ်လျှင် တစ်ကြိမ်ဆက်လက်ထုတ်ပြန် သွားမည်ဖြစ်ပါကြောင်း သတင်းထုတ်ပြန်အပ်ပါသည်။
သတင်းစဉ်
